Новости металлургии
Metaldaily.ru
/
Новости - 04.09.2013
Мини Металлургические Заводы. Часть 1: Секреты успеха (начало). "Русмет". 4 сентября 2013
04.09.2013 - 11:54
РќР° фоне перепроизводства стали Рё слухов Рѕ РІРѕР·РјРѕР¶РЅРѕРј дефиците лома кажется нелепым обсуждать строительство новых металлургических заводов. Почему РёС… РІСЃРµ-таки РІРѕР·РІРѕРґСЏС‚ как крупные металлургические холдинги, так Рё РЅРµ связанные СЃ металлургией инвесторы? Р’ чем преимущество РјРёРЅРё-заводов Рё уникальность сегодняС?него момента РІ Р РѕСЃСЃРёРё? Публикации РЅР° эту тему освещают РІ РѕСЃРЅРѕРІРЅРѕРј производственные возможности РјРёРЅРё-заводов. РџСЂРё этом упускается главное: РїРѕСЏРІРёРІС?иеся возможности требуют РґСЂСѓРіРѕР№ организации бизнеса. Цель статьи – помочь потенциальным инвесторам избежать РѕС?РёР±РѕРє РїСЂРё создании РјРёРЅРё-заводов.
Мини-завод — иной тип бизнеса
РњРёРЅРё-завод — это РЅРµ просто маленький завод, это РґСЂСѓРіРѕР№ тип бизнеса. Его отличают РЅРµ только сырье, технология Рё продукция, РЅРѕ Рё клиенты, принципы организации производства, стратегия (табл. 1). Чтобы лучС?Рµ разобраться РІ этом, рассмотрим РґРІР° типа бизнеса подробнее.
Таблица 1. Сравнение интегрированных и мини-заводов
Р?нтегрированные заводы (комбинаты)
Заводы этого типа появились давно. Традиционно РІ качестве сырья используется железная СЂСѓРґР° Рё уголь. Сырье переплавляют РІ доменной печи, получая полупродукт — чугун (СЂРёСЃ. 1). РџСЂРёСЂРѕРґРЅРѕРµ сырье обеспечивает стабильность состава Рё чистоту чугуна. Рта особенность очень важна, поскольку позволяет выпускать высококачественную сталь СЃ жесткими требованиями Рє химическому составу.
Рис. 1. Схема производства на интегрированных и мини-заводах
Р?сточник: G. Schabrun, Spring 2002 Macroeconomics
Вторая особенность — доменный процесс. Чем больС?Рµ доменная печь, тем РЅРёР¶Рµ себестоимость чугуна. Доменный процесс экономически эффективен РїСЂРё объемах производства СЃРІС‹С?Рµ 3 млн С‚ металла РІ РіРѕРґ. Причем процесс РЅРµ позволяет существенно изменять объемы, Р° тем более останавливать производство. Для РїСѓСЃРєР° остановленного производства требуются дополнительные инвестиции.
Третья особенность — производство стали. Поскольку доменная печь выпускает РјРЅРѕРіРѕ чугуна, то выплавляется РјРЅРѕРіРѕ стали, которую РЅСѓР¶РЅРѕ быстро разлить РІ твердые заготовки. Наиболее быстро это РјРѕР¶РЅРѕ сделать, если отливать заготовки СЃ больС?РёРј сечением (СЂРёСЃ. 2). РќРѕ такое сечение невозможно сразу переработать РІ конечный РїСЂРѕРґСѓРєС‚, требуется длинная технологическая линия СЃРѕ значительным количеством прокатных станов Рё промежуточных нагревательных печей. Заготовка многократно подвергается деформации Рё нагреву, РїСЂРё этом устраняются недостатки литой структуры Рё металл становится однородным. Любые отклонения РѕС‚ заданных требований достаточно просто ликвидировать РІ процессе обработки стали. РџСЂРё такой организации производства легко управлять качеством Рё формировать необходимый набор свойств металла.
Рис. 2. Влияние толщины литой заготовки на конфигурацию производства и тип заводов
Р?сточник: N. Zapuskalov, ISIJ International, 2003
Р?так, чистое сырье, С?РёСЂРѕРєРёР№ состав технологического оборудования позволяют выпускать продукцию любого сортамента СЃ высоким качеством Рё набором уникальных свойств. Комбинаты становятся неуязвимыми РїСЂРё условии РёС… специализации РЅР° высококачественной продукции, которую невозможно получить РґСЂСѓРіРёРј СЃРїРѕСЃРѕР±РѕРј.
Р?нтегрированные заводы созданы давно Рё географически РЅРµ привязаны Рє источникам сырья или потребителям, имеют СЃРІРѕСЋ историю, специализацию Рё бренд. Рто глобальные РёРіСЂРѕРєРё. Потребляют РёС… продукцию РІРѕ всем РјРёСЂРµ. РџСЂРё РѕРіСЂРѕРјРЅРѕРј потенциальном рынке наибольС?РёР№ интерес представляют крупные клиенты, способные обеспечить постоянную загрузку оборудования Рё готовые платить Р·Р° высокое качество. Рто клиенты, использующие сталь РІ качестве РёСЃС…РѕРґРЅРѕРіРѕ материала, причем ее цена РЅРµ так важна РІ сравнении СЃ потребительскими свойствами конечной продукции (СЂРёСЃ. 3).
Рис. 3. Доля стали в стоимости конечной продукции*
* Основная продукция интегрированных заводов обозначена синим цветом, мини-заводов — черным цветом
Р?сточник: The Steel Industry Globalization Trends, London Metal Exchange, 2003
Предприятия РєРѕРЅРєСѓСЂРёСЂСѓСЋС‚ РґСЂСѓРі СЃ РґСЂСѓРіРѕРј Р·Р° те свойства продукции, которые дают выигрыС? конечным потребителям. Сегодня умение производить сталь, превосходящую продукцию конкурентов, является РѕСЃРЅРѕРІРѕР№ бизнеса. Компании ежегодно выделяют огромные средства РЅР° разработку РЅРѕРІРѕР№ стали Рё продукции СЃ улучС?енными свойствами (СЂРёСЃ. 4). Для сравнения: бюджет РЅР° аналогичные цели Сѓ СЂРѕСЃСЃРёР№СЃРєРёС… металлургических гигантов РЅРµ превыС?ает $3 млн РІ РіРѕРґ.
Для управления коллективом РІ десятки тысяч человек Рё сложной технологией РЅСѓР¶РЅС‹ профессиональные знания. Только высокопрофессиональные управленцы СЃРїРѕСЃРѕР±РЅС‹ организовать сложный процесс производства. Без высокопрофессиональных инженеров Рё исследователей невозможно производить уникальную продукцию высочайС?его качества Рё постоянно ее соверС?енствовать. Высокий уровень культуры производства создает С…РѕСЂРѕС?Рѕ подготовленный персонал. Предприятия РєРѕРЅРєСѓСЂРёСЂСѓСЋС‚ Р·Р° лучС?РёС… специалистов. Р?нтегрированные предприятия ценны профессионализмом сотрудников.
Р?так, интегрированные заводы РїСЂРѕРёР·РІРѕРґСЏС‚ эксклюзивный РїСЂРѕРґСѓРєС‚ Рё поставляют его РІ любую точку РјРёСЂР°. РћСЃРЅРѕРІР° РёС… бизнеса — РїСЂРѕРґСѓРєС‚ СЃ высокой добавленной стоимостью. РћСЃРЅРѕРІР° производства — высокопрофессиональная команда, обеспечивающая эксклюзивные свойства продукции. Ключевой фактор успеха — возможность предлагать клиентам сталь СЃ улучС?енными потребительскими свойствами.
Р РёСЃ. 4. Затраты РЅР° исследовательские работы крупнейС?РёС… азиатских комбинатов, $ млн
Р?сточник: N. Kawabata, Annual Report of Economic Society, Tohoku University, 2012
Мини-заводы
Сегодня под термином "мини" понимают разные компактные заводы с частичным или полным набором технологического оборудования (см. рис. 1), и условно их можно разбить на три группы.
"Усеченные" мини-заводы выпускают полупродукт (литую заготовку), не имея прокатного оборудования для производства конечной продукции.
"Передельные" мини-заводы закупают полупродукт и докатывают его до конечной продукции, то есть у них есть прокатные станы, но нет плавильного и разливочного оборудования. На базе "передельных" мини-заводов создаются металлосервисные центры.
Рљ третьей РіСЂСѓРїРїРµ относятся РјРёРЅРё-заводы, имеющие весь комплект оборудования для переработки сырья РІ конечную продукцию. РќР° заводе есть плавильное, разливочное Рё прокатное оборудование. Рта РіСЂСѓРїРїР° заводов наиболее распространена Рё представляет самый значительный интерес.
Р’ качестве сырья обычно используется стальной лом, реже — железо РїСЂСЏРјРѕРіРѕ восстановления HBI/DRI Рё небольС?РёРµ добавки чугуна (табл. 2). Чтобы подготовить сырье Рє плавке, РЅРµ требуется сложное оборудование. Лом загружают РІ электродуговую печь, РіРґРµ Р·Р° счет тепла электрических РґСѓРі РѕРЅ плавится. Процесс производства РЅРѕСЃРёС‚ простой, одностадийный характер, поскольку РёР· стального лома сразу получают Р¶РёРґРєСѓСЋ сталь. Расплав отливают РЅР° РјР°С?РёРЅРµ непрерывного литья РІ твердые заготовки, которую затем прокатывают для получения конечной продукции.
Таблица 2. Сырье для мини-завода
* Другие цветные металлы
** Категория тяжелый лом HMS 1 (Heavy Melting Steel 1) по классификации ISRI (Institute of Scrap Recycling Industries)
Р?сточник: WorldSteel, ГОСТ
Первое преимущество РјРёРЅРё-заводов — гибкость РІ загрузке оборудования. Рлектродуговая печь РЅРµ требует постоянной загрузки. РџСЂРё падении рыночного СЃРїСЂРѕСЃР° РЅР° продукцию печь РјРѕР¶РЅРѕ остановить. Остановка Рё перезапуск производства обходятся без дополнительных инвестиций. РњРёРЅРё-заводы экономически эффективны РїСЂРё объемах производства РґРѕ 1 млн С‚ готовой продукции РІ РіРѕРґ. Рто связано СЃ тем, что РґРѕ недавнего времени РЅРµ умели строить эффективные электропечи СЃ больС?РёРј объемом производства. РљСЂРѕРјРµ того, РїСЂРё значительных объемах возникает СЂРёСЃРє РЅРµ обеспечить необходимый СЃР±РѕСЂ лома Рё сбыт продукции.
Второе преимущество — технология отливки заготовки. Р’ отличие РѕС‚ комбинатов РЅР° РјРёРЅРё-заводах заготовки максимально приближены РїРѕ размерам Рє готовой продукции (СЃРј. СЂРёСЃ. 2). Рто существенно упрощает Рё СѓРґРµС?евляет производство, поскольку для получения конечной продукции требуется лиС?СЊ небольС?ая финиС?ная доработка (СЂРёСЃ. 5), однако сужает сортамент Рё качество продукции. Дефекты Рё недостатки литой структуры сложно исправить РЅР° короткой технологической линии, что ограничивает возможности РїРѕРІС‹С?ения качества. Поэтому потребителями заводов являются клиенты, нетребовательные Рє качеству, РЅРѕ чувствительные Рє цене.
Рис. 5. Толщина отливаемой заготовки существенно влияет на себестоимость производства конечной стальной полосы*
* Расчет сделан для рынка США, цена на лом принята за $195 за тонну
Р?сточник: Castrip LLC, November, 2000
Третье преимущество — короткий технологический процесс, благодаря чему РІРѕР·РјРѕР¶РЅРѕ быстрое выполнение заказов. Такой завод выгоден мелким, локальным потребителям, которые размещают заказы РїРѕ мере необходимости. Рто преимущество усиливается РїСЂРё расположении завода вблизи больС?РѕРіРѕ скопления сырья Рё/или потребителей готовой продукции.
Четвертое преимущество — короткий СЃСЂРѕРє окупаемости инвестиций. Р?нвестиционная политика заводов направлена РЅР° внедрение РІСЃРµ более компактных Рё РґРµС?евых СЃРїРѕСЃРѕР±РѕРІ производства. Постоянно обновлять оборудование экономически оправданно, если РѕРЅРѕ недорогое (его немного) Рё существенно снижает производственные расходы. Поэтому РІСЃСЏ история РјРёРЅРё-заводов — СЂРµС?ение задач, как уменьС?ить состав оборудования Рё самым РґРµС?евым СЃРїРѕСЃРѕР±РѕРј произвести продукцию.
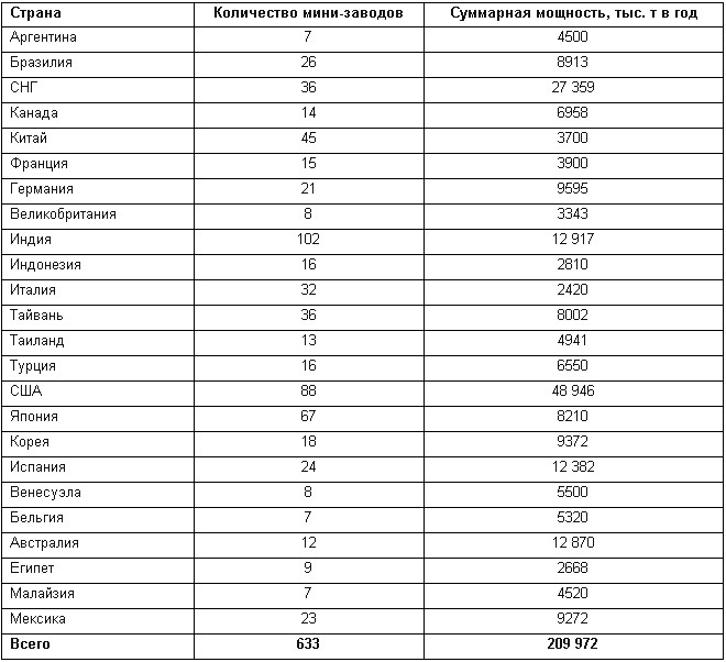
Пятое преимущество — РёРЅРѕРµ отноС?ение Рє РїРѕРґР±РѕСЂСѓ персонала. РњРёРЅРё-заводы строятся вдали РѕС‚ металлургических гигантов, СЂСЏРґРѕРј СЃ небольС?РёРјРё городами или РІ сельской местности, РіРґРµ труд РЅР° 30—40% РґРµС?евле. Сотрудников набирают РёР· местных жителей, часто РЅРµ имеющих образования. Заводы, построенные РІ сельской местности РЎРЁРђ, РІ Азиатско-Тихоокеанском Рё РґСЂСѓРіРёС… регионах (табл. 3), РІ которых РЅРёРєРѕРіРґР° РЅРµ было людей, обладающих металлургическими навыками, работают очень эффективно, используя местный персонал.
Таблица 3. Расположение основных мини-заводов
Р?сточник: Рђ. РЎРјРёСЂРЅРѕРІ "Металлургические РјРёРЅРё-заводы", 2005 -- Русмет
Источник:
www.advis.ru
Новости по этой теме
18.02.2026
РЖД направят на развитие Восточного полигона 33,8 млрд руб. в 2026 году
28.11.2025
Белорусский Гомсельмаш планирует развивать партнерство с российским Ростсельмашем
27.03.2024
ЮГМК заключил 3 соглашения о развитии спортивной инфраструктуры
В Новости
ПРЕДПРИЯТИЯ:
РУ Им. К.Либкнехта
,
Рудник Им. А.Матросова
,
ДЗМК им. И.В. Бабушкина
,
Металлургический завод им.Серова
,
ДМКД
,
РУ Им. Р.Люксембург
ГЕОГРАФИЯ:
Междуреченск (Кем.)
,
Троицк (Моск.обл)
,
Франкфурт-на-Майне
,
Ростов-на-Дону
,
Комсомольск-на-Амуре
,
Славянск-на-Кубани
Всего новостей
180305
ГОД:
2006
2007
2008
2009
2010
2011
2012
2013
2014
2015
2016
2017
2018
2019
2020
2021
2022
2023
2024
2025
2026
МЕСЯЦ:
Январь
Февраль
Март
Апрель
Май Июнь Июль Август Сентябрь Октябрь Ноябрь Декабрь
Пн
Вт
Ср
Чт
Пт
Сб
Вс
1
2
3
4
5
6
7
8
9
10
11
12
13
14
15
16
17
18
19
20
21
22
23
24
25
26
27
28
29
30
Подписка на рассылку
Ежедневные новости металлургии в Вашем почтовом ящике
Подписаться
RSS
Информер
Ежедневно обновляющиеся заголовки 10 последних новостей металлургии на вашем сайте
<script type="text/javascript" src="http://www.metaldaily.ru/news/last10.js"></script>
все информеры >>